Add: Room 330, GIGCAS Building, No.511 Kehua Street, Tianhe District, Guangzhou 510640,China
Tel : +86-18664618258, 13631416918
Email:shiny@sinoshiny.com
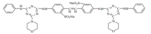
Structural formula:

CAS No.:16090-02-1
Molecular formula: C40H38N12O8S2Na2
Appearance: white or light yellow granular
Max. UV absorption wave lenghth: 416±10nm
1% Extinction Coefficient: 426-446
Application:Optical Brightener DMS can be used in the whitening of cellulose fiber, polyamide fiber and fabrics.
Package: Fiber drum or PE
Recommended dosage:washing powder, 0.1-0.5%