Add: Room 330, GIGCAS Building, No.511 Kehua Street, Tianhe District, Guangzhou 510640,China
Tel : +86-18664618258, 13631416918
Email:shiny@sinoshiny.com
Product name:Light Stabilizer 783
Appearance:Light yellow powder or granules
Synonyms: Poly-and Poly-(N-β-hydroxyethyl-2,2,6,6-tetramethyl-4-hydroxy-piperidyl succlhate)
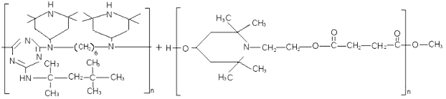
Molecular formula: [C35H64N8]n+H(C15H25O4N)nOCH3
Structural formula:

Volatility:1%max
Ash: 0.1% max
Transmittance: (425nm) 90% min
Transmittance: (500nm) 94% min
Application:Light Stabilizer 783 areas of application include polyolefin (PP, PE), polyurethane, polyformaldehyde, polyamide and polyester and polyester with elastomers. And it can be used in engineering plastic such as ABS. When be used in low concentration agricultural film system (LDPE or LLDPE), it delivers excellent cost /performance benefits.
Package :25kgs carton (inner with plastic bag).
Storage: Avoid sunlight. Be kept in dry place and under 30°C.