Add: Room 330, GIGCAS Building, No.511 Kehua Street, Tianhe District, Guangzhou 510640,China
Tel : +86-18664618258, 13631416918
Email:shiny@sinoshiny.com
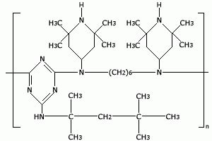
Product name:Light Stabilizer 944
Synonyms: Poly-{6-[(1,1,3,3-tetramethylbutyl)amino-1,3,5-triazine-2,4-diyl][(2,2,6,6-tetramethyl-4-piperidyl)imino]-1,6-hexanediyl[(2,2,6,6-tetramethyl-4-piperidyl)imino)}
Appearance: White or light yellow powder or granular
CAS NO. : 70624-18-9
Molecular formula : [C35H64N8]n (n=4-5)
Structural formula:

Molecular weight : Mn = 2000-3100
Melting point : 110-130°C min
Volatiles : 0.5% max
Ash : 0.05% max
Transmittance : 425nm: 94%min; 450nm: 95%min
Application:Light Stabilizer 944 is excellent light stability in polyolefin (PP, PE, PVC), PA, polyacetals and polyester. Light Stabilizer 944 shows excellent It shows excellent compatibility and high resistance to extraction.In addition, Light Stabilizer 944 can be used in food package materials. Now,Light Stabilizer 944 is used widely at home and abroad.
Package:25kgs /carton.
Storage:For this product is apt to absorb humidity, it should be kept in clean and dry place and avoid light.